Skip to content
Skip to main navigation
Skip to footer
Village of Girouxville
Menu
Home
Visitors
Local Attractions
Bowling Alley
Community Center
Municipal Campground
Municipal Playround
Musée Girouxville Museum
Multi-Purpose Facility 5204-52nd Ave. Outdoors
Residents
Emergency Preparedness
Rental Properties
Taxes & Assessment
Smoky River Regional Landfill
Commercial Garbage
Village of Girouxville Map
Local Directory
Gallery
Government
Council Meetings
Financial Statements
2023 Financial Statement
Bylaws
Notices
Contact Us
Search:
Filter results:
everything
posts
pages
notices
listings
events
galleries
documents
people
Collapse search
Home
Notices
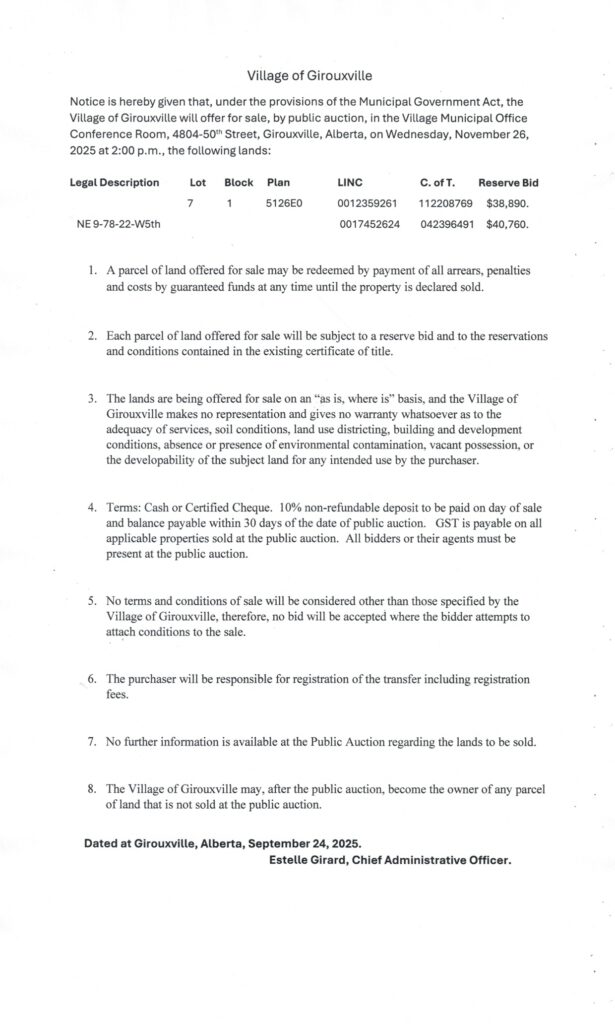
Notice of Village of Girouxville Public Auction
November 3, 2025
by
webdev
Previous
“Lest We Forget: Honoring the Fallen Beneath the Flag of Freedom
Next
Christmas Voucher Program
Back to top